北航新闻网1月11日电(通讯员 刘锐)1月10日,Nature杂志在线全文发表了北航物理学院金文涛副教授课题组与中科院物理所孙培杰研究员、理论物理研究所/彭桓武科教合作中心李伟研究员、中国科学院大学苏刚教授研究团队在阻挫量子磁性材料方面的最新研究成果:“Giant magnetocaloric effect in spin supersolid candidate Na2BaCo(PO4)2”。物理所博士后项俊森(北航博士毕业生)、我校物理学院博士生张传迪、高源为论文的共同第一作者,金文涛副教授、李伟研究员、孙培杰研究员、苏刚教授为共同通讯作者。

超固态的概念由诺贝尔物理奖得主、英国科学家A. Leggett于1970年作为一种理论猜测提出,是一种在接近绝对零度时涌现出的新奇量子物态,兼具固体和超流体的特征。目前,除了冷原子气的模拟实验外,人们一直未能在固态物质中找到超固态存在的可靠实验证据。近年来,阻挫量子磁性理论与实验研究的蓬勃发展为寻找基于自旋系统的超固态提供了新机遇。最近,金文涛课题组与团队合作者在钴基三角晶格磷酸盐Na2BaCo(PO4)2中首次发现同时具备自旋固态和自旋超流体特征的“自旋超固态”这一新奇量子物态的存在证据,并观察到由此导致的、可实现极低温制冷的巨磁卡效应。
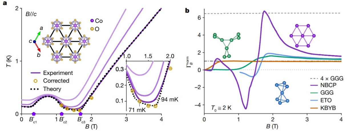
通过绝热去磁过程,团队发现在量子临界点Bc3附近,Na2BaCo(PO4)2单晶的温度急剧下降,可以到达94 mK的最低制冷温度,磁场驱动的温度下降速率(格林奈森参数)约为商用制冷工质Gd3Ga5O12的四倍(图1)。由于其卓越的制冷性能来自于自旋超固态下强烈的量子自旋涨落,因此该效应可被称为自旋超固态巨磁卡效应,这是一种全新的制冷原理。

图1:Na2BaCo(PO4)2单晶的绝热退磁制冷曲线(a)以及其格林奈森参数与其它磁制冷材料的对比(b)
在此基础上,金文涛课题组利用所生长的大尺寸单晶,开展了零磁场和纵向磁场下的极低温中子衍射实验。实验成功观察到由面外磁场驱动的三次量子相变,确认了钴离子自旋面外分量所形成的三子格长程序(即固态序),并通过由无能隙激发和微弱的层间相互作用共同导致的非公度磁峰实现了对超流序的间接探测(图2)。中子衍射实验结果与团队合作者的理论计算结果高度一致,提供了该材料中存在自旋超固态的重要微观证据。

图2:Na2BaCo(PO4)2单晶中子衍射数据。a-c:零磁场下30 mK衍射峰的出现,表明三子格序(固态序)的存在;d,f:实验观察到的95mK时磁峰的位置和强度随磁场的演化;g:理论计算的零温下固态序和超流序的序参量,其中超流序参量与f中非公度磁峰的行为相似;e:三个不同相中磁峰强度的温度依赖行为,表明自旋超固态有显著减小的有序磁矩和强烈的自旋涨落。
此研究表明,利用阻挫量子磁性材料中与新奇量子物态相关的丰富低能激发和相应的量子临界物态调控,有可能获得高效的磁制冷效应。研究成果有望为极低温固态制冷提供新的思路和解决方案,运用于深空探测、量子科技等对极低温有重要需求的研究领域,缓解当前面临的全球氦资源短缺的问题。
该工作得到了国家自然科学基金、国家级青年人才项目、北航青年拔尖人才支持计划等项目以及怀柔综合极端条件实验装置的支持。
北航通讯作者简介:
金文涛,北航物理学院副教授、博士生导师,国家级青年人才。课题组主要研究方向为利用中子散射和同步辐射方法,对量子磁性材料、非常规超导体等强关联电子材料的结构、磁性和元激发进行实验研究,以及极低温磁制冷材料的合成、表征和制冷新机理研究。迄今在物理学国际学术期刊上共发表论文57篇,含一作/通讯作者26篇(包括Nature1篇,PhysicalReview系列16篇),主持国家自然科学基金面上项目、北航青年拔尖人才支持计划等研究项目7项。
论文链接:http://doi.org/10.1038/s41586-023-06885-w
(审核:李广超)
编辑:贾爱平