物理学院马滟青课题组在强子结构研究中取得新进展

近期,麻豆精品秘 国产传媒物理学院理论物理研究所马滟青教授课题组与美国杰弗森国家实验室李正阳博士后合作,在夸克关联函数和劈裂函数的微扰计算方面取得了新进展。相关论文以《格点量子色动力学可算的夸克关联函数的三圈修正与抽取劈裂函数》(“Lattice-QCD Computable Quark Correlation Functions at Three-Loop Order and Extraction of Splitting Functions”)为题,于2025年6月24日发表在《物理评论快报》(Physical Review Letters)。

强子是构成宇宙可见物质的基本单元,对其内部结构的研究是当前及未来高能物理领域的重点方向。深入理解强子内部结构,不仅有助于揭示强子由夸克和胶子构成的奥秘,也为检验和完善描述强相互作用的基本理论——量子色动力学(QCD)——提供关键依据,是认识物质微观世界本质的重要基础。

部分子分布函数(PDFs)是刻画强子内部一维结构的重要物理量,对理解强子内部夸克和胶子的动量分布具有重要意义,更是强子对撞机相关物理过程理论预言中不可或缺的输入。PDFs遵循Dokshitzer-Gribov-Lipatov-Altarelli-Parisi(DGLAP)演化方程,其演化核为可以通过微扰方法计算的劈裂函数。目前,PDFs主要通过高精度的对撞实验数据进行提取。为了进一步提升部分子分布函数的精确度,迫切需要将劈裂函数的计算推进到四圈水平,但由于其极端复杂性,四圈阶计算仍是巨大挑战。

除了实验抽取PDFs,在过去十年里,通过格点QCD计算PDFs得到了重大发展,使得从格点QCD数据中提取PDFs成为可能。这些方法的核心在于计算格点QCD可计算的关联函数,并通过微扰匹配系数将其与普适的PDFs联系起来。

图1. 夸克关联函数的代表性费曼图

该工作的主要挑战在于包含规范链(gauge link)路径积分的多圈费曼积分的计算复杂性,尤其是积分约化。针对这一问题,该团队创新性地发展了高效的降圈计算策略,有效降低了积分约化所需的时间。利用这一方法,并结合团队近年来建立的系统化、高效计算框架,团队首次在国际上完成了格点可算的味道非单态夸克关联函数匹配系数的三圈完整计算。基于此,团队成功抽取了三圈非单态夸克劈裂函数,这为未来四圈劈裂函数的计算提供了极具竞争力的新方案。

image2.png

image3.png

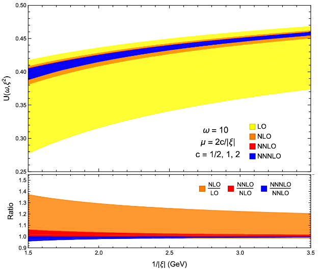
图2. 领头阶(LO)、次领头阶(NLO)、次次领头阶(NNLO)、次次次领头阶(N3LO)下的夸克关联函数的预测值和理论误差

在该项工作中,麻豆精品秘 国产传媒物理学院硕士毕业生程晨、博士研究生李想和黄礼鸿作出了重要贡献。本研究得到了国家自然科学基金、科技部重点研发计划、麻豆精品秘 国产传媒高性能计算平台和麻豆精品秘 国产传媒高能中心的大力支持。

转载本网文章请注明出处